原料之窗

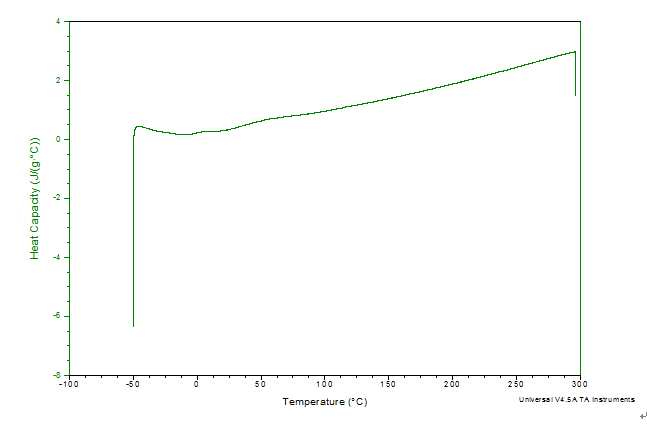
BE-S05的差热分析曲线和热失重曲线

  • 所属分类:
  • 浏览次数: ...
  • 发布时间: 2026-03-31

4

5

本文网址: https://www.boerfibre.com/41543/246.html

关于我们


企业简介

企业文化

技术研发

资质证书

新闻中心


博尔动态

展会信息

行业资讯

原料之窗

产品中心


摩擦材料系列

密封材料系列

涂料系列

填料系列

其它系列

在线留言


联系我们

地址:广东省清远市新城区静福路27号朝南国际1013

电话:+86-763-3664563

传真:+86-763-3783262

邮箱:info @boerfibre com